L. David Roper
http://www.roperld.com/personal/RoperLDavid.htm
7 July, 2019
World Fossil Fuels Depletion
The U.S. state of United States is having a boom in extracting crude oil by the technique of fractionating ("fracking") shale/dolomite formations. A "boom" in nonrenewable resource extraction from the Earth is defined as a time period in which extraction is occurring very fast in a given area; thus, many workers come in from outside the area to man the drilling rigs, to build housing for the oil workers and to provide other services for the increased population.
This article shows mathematically that the United States crude-oil boom will become a bust within a decade. A "bust" in nonrenewable resource extraction from the Earth is defined to begin at the time when extraction of the resource peaks and then falls to negligible amounts over a time period.
The U.S. Energy Information Administration gives monthly and annual crude-oil extraction data for United States since 1981.
Those data are fitted by a depletion function, the Verhulst function, in this study to determine when the extraction will peak.
The data and the fits to the data are given in a later section.
A reliable estimate of reserves is needed to fit extraction data by a function for projecting into the future for a nonrenewable resource Here is a good definition of reserves of a nonrenewable resource.
The U.S. Energy Information Administration gives reserves estimates from 1977 to 2011 for crude-oil extraction in United States, which are shown here by black dots for years 2005 to 2014:

The curve is a fit to the estimates from 2010 to 2016 using the Verhulst function described in the next section, assuming that the curve will be symmetrical. The fit is done to get a rough estimate of the peak value of the reserves estimate in the future, which is ~40 x 109 barrels. However, when fitting the extraction data this reserves value is too small, Thus, larger reserves values are used in the fit below.
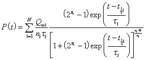
The depletion function that is used in this article is the Verhulst function:

The asymmetry parameter, n, must be greater than 0.
where 
The maximum of P(t) occurs at
, which yields the peak value
.
For the symmetric case (n=1):
and
.
For a depletion situation for which there are N peaks the depletion function is:
.
When a peak is symmetrical, the Verhulst function simplifies to

One needs an estimate of the amount of asymmetry, described by the parameter n, for the future peak due to fracking for tight oil, which can be obtained from the macro-analysis of the Bakken and Eagle-Ford plays by J. David Hughes (Drilling Deeper).
J. David Hughes (Drilling Deeper) has done a micro-analysis of the all US tight-oil play:

This shows that U.S. tight oil extraction is mainly in the Bakken and Eagle Ford plays
So the asymmetry parameter, n, for tight-oil extraction in the U.S.can be estimated from the combined Bakken and Eagle Ford projected extraction as determined by Hughes:

“Most Likely Rate” scenario of Bakken and Eagle-ford tight-oil extraction.
Hughes' Bakken curve is asymmetric; i.e., n > 1.
I fitted a Verhulst function to the Hughes Bakken and Eagle-Ford combined curve to get the asymmetric parameter n:

The asymmetric parameter is 4.41. (The Y-axis has been changed from 10^6 barrels/day to 10^9 barrels/yr.)
Then a Verhulst fit was done to the U.S. crude oil extraction data with the asymmetric parameter varied for the future crude-oil peak::

The asymmetry parameter searched to The calculated 2016 reserves for this curve is ~93 x 109 barrels, much above the estimated reserves value (~40 x 109 barrels) given above.
The extraction appears to have peaked already and will fall rapidly in future years.
Even for very high estimates of crude-oil reserves for its extraction in United States, the current boom will turn into a bust in less than a decade.
The Energy Information Agency has estimated unproven crude-oil resources for the U.S. as ~197.9 x 109 barrels. So, the upper limit of reserves used in this analysis of 130 x 109 barrels is probably reasonable since the extraction gets more difficult and causes more environmental damage as extraction progresses.
Crude oil should be used to make products rather than burning it for energy and releasing carbon dioxide, which increases global warming. Also, methane release during crude-oil extraction should be minimized because it causes greater global warming than does carbon dioxide.
It would be wise for United States to use the current crude-oil boom to build the policies and infrastructure for collecting energy from wind and solar, for encouraging drivers to drive electric vehicles and for fast charging stations for electric vehicles in personal and parking garages. Wind energy in United States has a good start already.
It would be wise for the government of United States to do some decade-long planning about how to best manage the coming crude-oil-extraction bust. A tax on crude-oil extraction to put in a fund to help manage the bust and to clean up the mess made by the extraction would be wise. Such tax might have an added benefit of slowing down the extraction so that the bust will not occur so soon, giving more time to prepare for it.
If the U.S. were an intelligent society it would slow down the extraction of crude oil and prohibit it being exported.

L. David Roper interdisciplinary studies
World Fossil Fuels Depletion
L. David Roper, http://arts.bev.net/RoperLDavid/
7 July, 2019